Quick
index
main
eev
eepitch
maths
angg
blogme
dednat6
littlelangs
PURO
(C2,C3,C4,
 λ,ES,
 GA,MD,
 Caepro,
 textos,
 Chapa 1)

emacs
lua
(la)tex
maxima
 qdraw
git
lean4
agda
forth
squeak
icon
tcl
tikz
fvwm
debian
irc
contact

Bad foundations: code in Maxima (2026)

1. Change of variables

The preprint is called "Bad Foundations and Manipulable objects". You can read it here. This page is about its code in Maxima.


1. Change of variables

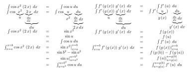
One of the things that I showed in my presentation at the World Logic Day 2026 - starting at 29:21, on slide 25 - was that Integration by substitution is a formula that is many levels of abstraction above its particular cases that we can visualize... and the best way to understand it is to start at at lower left part of the figure below and go to the upper right.

That figure looks like it was LaTeXed by someone lazy, incompetent, or without taste - like: why not `\begin{array}{rcl}'? Why did they omit the extra spacing between certain lines? - but then there's this:

Its LaTeX code was generated by Maxima!!! And its displayed version is readable! It uses many tricks from Edrxbox:

  • it uses underbraces,
  • it uses antideriv,
  • some of the underbraced parts include the `dx's and `du's of the integrals,
  • it displays the functions fp and gp as f' and g' - see here.